合作客户/
拜耳公司 |
同济大学 |
联合大学 |
美国保洁 |
美国强生 |
瑞士罗氏 |
相关新闻Info
-
> 表面张力仪应用案例:芳纶纤维复合材料浸润性测量原理与步骤
> 不同矿浆浓度、粒度、伴生矿物、捕收剂和起泡剂对矿浆表面张力的影响(二)
> 应用单分子层技术分析磷脂酶与不同磷脂底物特异水解性能:摘要、介绍、材料和方法
> 双季铵基邻苯二甲酸酯基表面活性剂SHZ16和SHZ14表面张力等性能对比(一)
> 烟道气与正己烷对稠油表面张力的影响机制研究(二)
> 电镀液表面张力、接触角、流速以及压强等因素对硅通孔浸润过程的影响(二)
> 如何测量纯净水和硅油、纯净水和乙酸乙酯间的界面张力
> 测量表面张力/界面张力的仪器有哪些?怎么选
> 温度及压强对CO2-NaCl盐水系统界面张力的影响(二)
> 液膜断裂点与电压最大值在表面张力测量中的对比研究(一)
推荐新闻Info
APTES在绢云母表面的周期性自组装特性
来源:南京工业大学学报(自然科学版) 浏览 190 次 发布时间:2026-04-03
2.2 APTES在绢云母上的自组装过程
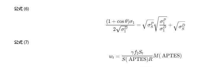
根据 Owen-Wendt-Rabel-Kaelble 方程(6),通过测量粉末在至少 2种不同浸润液中的接触角,可以获得粉末表面的张力。
[(1+cos θ) σ1] / [2√(σ1D)] = √(σSP) × √(σ1P/σ1D) + √(σSD)(6)
式中 σs 为粉末表面张力。
图 5(a)为粗糙绢云母粉末在不同 APTES质量分数下的分子自组装膜的表面张力,图中的数据点表现出周期波动的特点。为了获得该曲线的波峰和波谷,对图5(a)进行插值处理。图5(b)显示在小于1.2%,曲线具有周期性,且波峰与波谷随着 APTES用量的增加而增大。根据图5(b),分别选取峰谷和峰尖的APTES用量及表面张力列入表2。
图 5 粗糙绢云母粉末的表面张力 (a)实验值 (b) 插值
表 2 APTES多层分子自组装膜的表面张力
| 自组装层数 | 峰谷 | 自组装层数 | 峰谷 | 自组装层数 | 峰尖 | 自组装层数 | 峰尖 | ||||
|---|---|---|---|---|---|---|---|---|---|---|---|
| wAPTES / % | 表面张力/ (mN·m-1) | wAPTES / % | 表面张力/ (mN·m-1) | wAPTES / % | 表面张力/ (mN·m-1) | wAPTES / % | 表面张力/ (mN·m-1) | ||||
| 1 | 0.063 | 23.50 | 9 | 0.690 | 27.30 | 2 | 0.140 | 33.50 | 10 | 0.750 | 40.20 |
| 3 | 0.200 | 25.70 | 11 | 0.810 | 29.30 | 4 | 0.270 | 34.80 | 12 | 0.890 | 42.00 |
| 5 | 0.360 | 27.00 | 13 | 0.950 | 31.80 | 6 | 0.420 | 34.90 | 14 | 1.010 | 41.20 |
| 7 | 0.510 | 26.59 | 15 | 1.090 | 31.90 | 8 | 0.600 | 37.70 | |||
由表2可见,每一个峰谷与峰尖对应APTES分子在云母的表层新的完整分子层形成,当APTES质量分数为0.063%时,APTES分子与云母的表层-OH反应,形成完整的单分子层,此时APTES的氨基表露在外。
当APTES质量分数为0.140%时,溶液中的APTES分子上的氨基和乙醇的羟基能与第1层单分子膜表面的氨基形成氢键,这是竞争性的结合,用甲苯对不同质量分数处理的绢云母粉末进行索氏抽提,抽提处理前后的表面张力没有发生太大的变化,说明新形成的 APTES层比较稳定,这可能是由于吸附在第 1层单分子膜表面的相邻 APTES的乙氧基表露在分子层外表面,部分 ≡Si-OC2H6 与溶液中微量的水发生水解,自聚,因此能够比乙醇更牢固的吸附在第 1层单分子膜表面。随着 APTES用量增加, APTES能够交替形成自组装多分子层。由于氢键具有饱和性和方向性,单分子膜表面上的 1分子氨基对应 1分子的 APTES分子,表现在表 2中,每个周期对应的 APTES用量差值相差不大。
2.3 分子自组装APTES密度
相同的固体表面,测量尺寸越小,测量结果就越能体现出表面微观性。以N2分子作为标尺测量的比表面积相当于绢云母粉末的真实表面Sa;而激光粒度仪以微米波作为标尺所测量的比表面积相当于粉末表面的投影面积 St。本文中绢云母粉末的真实表面 Sa 和投影面积 St 分别为9.1347和 0.521 m2/g,据此获得绢云母表面粗糙度 γ=Sa/St 为 17.5。
采用Wilhelmy吊片法,测得绢云母片与乙醇的接触角接近 0°。但是经 Washburn法测量绢云母粉末与乙醇的前进角为 26°,这是由于绢云母粉末极其粗糙表面所引起的。根据 Wenzel和 Cassie复合方程(5),可以计算出 f2=0.103。当 APTES在绢云母粉末表面形成单分子层时, APTES质量分数 wt 为
wt = (γ f2 St) / (S(APTES) R) × M(APTES)(7)
式中:M(APTES)为 APTES的相对分子质量;S(APTES)为 APTES覆盖在绢云母表面的分子截面积;R为阿伏伽德罗常数。当APTES质量分数为0.063%,形成单分子层,可以计算出S(APTES)=0.55 nm2,因此绢云母粉末自组装单分子层APTES密度为1.82×1018个/m2。
3 结论
1)由于APTES分子上不同的端基,使得随着APTES用量的增加,粉末表面的张力交替变化,APTES分子在绢云母表面形成自组装多分子层。
2)由于绢云母粉末表面极端粗糙γ为17.5,使得APTES/乙醇溶液对绢云母粉末表面不能完全浸润,APTES只能在液体与固体接触部位进行分子自组装。
3)绢云母粉末自组装单分子层APTES密度为1.82×1018个/m2。





