合作客户/
拜耳公司 |
同济大学 |
联合大学 |
美国保洁 |
美国强生 |
瑞士罗氏 |
相关新闻Info
-
> 破解固态电池界面之困:表面张力调控SiO₂气凝胶电解质原位构筑新策略
> 强紫外线辐射对减缩剂抑制水泥石干缩变形效果研究(一)
> 烷基化碳量子点表面活性剂合成改性、表面张力、稳泡及乳化性能(一)
> 水包油型(O/W)和油包水型(W/O)乳液结构与界面稳定性
> pH调控下猪血浆蛋白热诱导纳米颗粒的制备、表征及其稳定Pickering乳液性能(二)
> 温度对甜菜碱短链氟碳表面活性剂表面张力、铺展、发泡性能影响(四)
> 表面活性剂在除草剂喷雾助剂中应用及主要增效机制
> 通过3个小实验来理解水的表面张力
> 超微量天平应用实例:利用火试金法测定铅精矿中银含量
> 纳米TiO_2表面性质和表面活性剂对纳米流体物性的影响
推荐新闻Info
-
> 粉煤灰基多孔地聚物:五种表面活性剂降低碱液表面张力与稳定泡沫的效能对比
> 表面活性剂对粉煤灰基多孔地聚物孔结构及性能的调控机制研究
> 人工模拟瘤胃体外发酵技术:纤维发酵中比表面积与表面张力的调控作用(二)
> 人工模拟瘤胃体外发酵技术:纤维发酵中比表面积与表面张力的调控作用(一)
> 翅果油饮品加工工艺的创新与深度解析界面张力仪在其中的应用
> 基于界面张力最小化优化PS微球制备工艺:SDS与Na₂SO₄浓度的选择
> 表面张力降低视角下离子液体促进气体水合物生成的机理探究
> 低用量、高效率:离子液体促进剂实现水合物生成体系表面张力最大降低53.06%
> 离子液体促进剂显著降低气体水合物生成液的表面张力与表面能研究
> 表面张力怎么测?表面张力仪工作原理与校准全解析
电场电压对明胶液滴荷质比、表面张力的影响及预测模型构建(三)
来源:包装工程(技术栏目) 浏览 528 次 发布时间:2026-01-23
2.3 不同外加电压条件下膜液接触角变化
为了形成具有良好黏附性和均匀性的可食性膜,成膜溶液对产品的润湿性尤为重要。表4展示了溶液在不同电压下荷电后滴落在石蜡表面的接触角。由表4可知,无外加电压作用下,tw100的接触角为79.74°,随着司盘20的增多,接触角首先减小,在二者浓度相等时降至71.00°。此后,接触角随着司盘20占比增加反而上升。理论上,表面张力越小的液滴接触角越小,但本实验现象与前述规律不符。先前研究发现,疏水性司盘表面活性剂分子在液滴中倾向于向上迁移,导致其不能有效降低液滴下表面接触角;而适量吐温表面活性剂的加入能够促进司盘在液滴中的均匀分布,从而减小接触角。
荷电使得液滴的接触角显著降低(P<0.05),其中7kV的电压能够使去离子水液滴的接触角降低约10°,明胶液滴接触角下降约6°~9°。茹煜等建立了荷电雾滴的三维运动模型,发现在20kV的电压下荧光液滴的接触角能够降低46°。本研究发现,当表面活性剂吐温20与司盘20的浓度比为1:1(tw50),外加电压为7kV时,明胶液滴在石蜡表面具有最好的润湿性,接触角为64.99°。
表4 不同外加电压条件下膜液在石蜡表面的接触角变化| 电压/kV | 接触角/(°) | |||||||
|---|---|---|---|---|---|---|---|---|
| 去离子水 | tw0 | tw20 | tw35 | tw50 | tw65 | tw80 | tw100 | |
| 0 | 106.08±0.15 | 78.57±0.08 | 77.10±0.03 | 73.67±0.23 | 71.00±0.05 | 76.68±0.04 | 80.70±0.14 | 79.74±0.11 |
| 1 | 105.24±0.03 | 77.38±0.23 | 76.70±0.11 | 72.87±0.11 | 70.31±0.08 | 76.10±0.03 | 80.18±0.03 | 79.15±0.05 |
| 2 | 102.69±0.15 | 76.33±0.05 | 76.02±0.01 | 71.64±0.12 | 69.94±0.05 | 75.88±0.03 | 79.01±0.17 | 78.71±0.06 |
| 3 | 101.6±0.12 | 75.25±0.18 | 75.20±0.22 | 71.09±0.05 | 69.21±0.11 | 75.49±0.08 | 77.45±0.21 | 77.95±0.11 |
| 4 | 100.65±0.10 | 73.30±0.17 | 73.15±0.16 | 70.15±0.13 | 68.02±0.17 | 74.13±0.07 | 75.23±0.27 | 76.93±0.14 |
| 5 | 99.68±0.20 | 72.17±0.05 | 72.03±0.14 | 72.03±0.14 | 66.83±0.08 | 72.25±0.11 | 73.85±0.16 | 73.91±0.21 |
| 6 | 97.89±0.12 | 70.98±0.14 | 70.69±0.11 | 70.69±0.11 | 66.23±0.07 | 69.16±0.24 | 72.61±0.10 | 72.75±0.13 |
| 7 | 96.91±0.10 | 69.48±0.27 | 69.67±0.23 | 69.67±0.23 | 64.99±0.23 | 67.93±0.17 | 71.56±0.13 | 71.98±0.09 |
2.4 机器学习分析
液滴的荷质比为荷电后的本质特性,而表面张力和接触角则为荷电液滴表现的外在特性。为了训练机器学习模型,以荷质比作为输入特征,将表面张力、接触角测量值转化为神经网络可以处理的张量后进行训练,使模型预测值尽可能地接近实际测量值,实验结果如表5所示。无论是表面张力还是接触角,SVM-linear的R2最低,为0.9384和0.9436,表明该模型预测效果最差。
SVM-linear作为一种基于线性核函数的支持向量机模型,对噪声和异常值非常敏感,且参数调优较为困难。DNN的R2最接近1,且MSE值和MAE值最小(表面张力的MSE值和MAE值分别为0.0145和0.0813,接触角的MSE值和MAE值分别为0.037 4和 0.1510),表明该模型预测性能最好。DNN具有非线性特征学习、自动特征提取和分层特征学习等优势,能够适应大规模数据并进行调优。
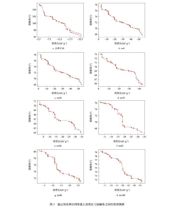
Pfisterer等通过DNN建立评估商业果泥食品的营养密度,其平均准确率达92.2%。荷质比与表面张力、接触角的模型预测如图2、图3所示,可以发现模型对实际数据具有良好的拟合效果。通过模型曲线可以确定,在任意荷质比下,去离子水液滴与明胶液滴的表面张力及其在石蜡表面的接触角,为预测可食性膜液在食品表面的润湿黏附性提供了思路和手段。
表5 不同模型对表面张力和接触角预测值的准确性| 模型 | 表面张力 | 接触角 | ||||
|---|---|---|---|---|---|---|
| MSE值 | MAE值 | R² | MSE值 | MAE值 | R² | |
| DNN | 0.0145 | 0.0813 | 0.9947 | 0.0374 | 0.1510 | 0.9895 |
| LR | 0.1569 | 0.3402 | 0.9422 | 0.1930 | 0.3570 | 0.9457 |
| SVM-rbf | 0.0585 | 0.1814 | 0.9785 | 0.0714 | 0.2001 | 0.9799 |
| SVM-linear | 0.1672 | 0.3211 | 0.9384 | 0.2005 | 0.3500 | 0.9436 |
| DTR | 0.0205 | 0.100 | 0.9925 | 0.0570 | 0.2084 | 0.9840 |
| GBR | 0.0425 | 0.1824 | 0.9843 | 0.0578 | 0.2072 | 0.9837 |
| KNN | 0.0341 | 0.109 | 0.9875 | 0.0405 | 0.1450 | 0.9886 |
图2 通过深度神经网络建立荷质比与表面张力之间的模型预测
图3 通过深度神经网络建立荷质比与接触角之间的模型预测
3 结语
本文探究了在不同电源电压下通过感应荷电的方式对明胶液滴荷质比、表面张力及接触角的影响,并通过深度神经网络建立模型预测。结果发现,静电荷电能有效提高明胶液滴的润湿性能,当外加电压为7kV时,明胶成膜液滴的表面张力可以下降9%~14%,接触角能够下降8%~12%。从而为形成更均匀、更完整的可食性涂膜提供新的手段。在明胶的质量分数为3%、表面活性剂的质量分数为0.05%、吐温20与司盘20浓度比为1:1、电压为0~7kV时,深度神经网络模型对膜液荷质比与表面张力或接触角的关系具有良好的预测作用,可用于指导实践操作。





