合作客户/
拜耳公司 |
同济大学 |
联合大学 |
美国保洁 |
美国强生 |
瑞士罗氏 |
相关新闻Info
-
> 新无氰白铜锡电镀液及电镀方法可降低表面张力,促进镀液对复杂工件的润湿
> 表面张力估算法测定29种常见低芳浅色矿物油的溶解度参数——实验部分
> 啤酒表面张力与泡沫持久性关系的研究
> 油藏储层油水界面张力是形成启动压力梯度的微观成因
> 分子动力学模拟不同浓度仿生黏液-水界面的界面张力
> 纳米氧化铝可提高BOPP薄膜表面张力,增强薄膜印刷适用性
> 桐油基衍生物钠盐的表面张力、CMC值测定、乳液稳定性、固化膜性能测试(三)
> Delta-8 动物胃肠道体内中药物的溶解度的测定——结论、工具书类!
> 致密砂岩储层CO2-EOR项目研究重点与进展
> 4种油醇烷氧基化物平衡和动态表面张力、润湿性、泡沫性、乳化性质研究(二)
推荐新闻Info
-
> 粉煤灰基多孔地聚物:五种表面活性剂降低碱液表面张力与稳定泡沫的效能对比
> 表面活性剂对粉煤灰基多孔地聚物孔结构及性能的调控机制研究
> 人工模拟瘤胃体外发酵技术:纤维发酵中比表面积与表面张力的调控作用(二)
> 人工模拟瘤胃体外发酵技术:纤维发酵中比表面积与表面张力的调控作用(一)
> 翅果油饮品加工工艺的创新与深度解析界面张力仪在其中的应用
> 基于界面张力最小化优化PS微球制备工艺:SDS与Na₂SO₄浓度的选择
> 表面张力降低视角下离子液体促进气体水合物生成的机理探究
> 低用量、高效率:离子液体促进剂实现水合物生成体系表面张力最大降低53.06%
> 离子液体促进剂显著降低气体水合物生成液的表面张力与表面能研究
> 表面张力怎么测?表面张力仪工作原理与校准全解析
表面张力对机械结合面接触载荷、真实接触面积以及接触刚度的影响规律(二)
来源: 《振动与冲击》 浏览 356 次 发布时间:2026-03-09
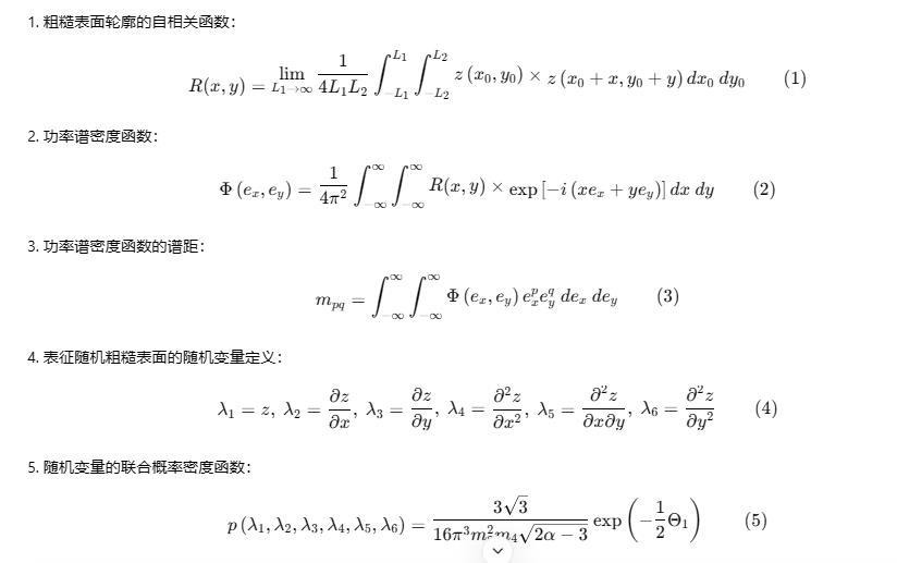
根据文献可知,粗糙表面轮廓的自相关函数可表示为
式中,取样长度分别为2L1、2L2。
通过对式(1)进行傅里叶变换获得随机过程模型中的功率谱密度函数为
式中:i为虚数;ex和ey分别为x和y方向上的波峰数。功率谱密度函数的谱距为
对于一个各向同性的粗糙表面,有mp0=m0p=mp,mp为粗糙表面轮廓在任意方向上的谱距。其中,零阶谱距m00=m0=σ2,σ为表面粗糙度的标准偏差。
用随机变量(λ1, λ2, λ3, λ4, λ5, λ6)表征随机粗糙表面,各变量定义如下
Nayak推导出了关于这些随机变量的联合概率密度函数为
Θ₁ = (2C₁(α)λ₁²)/m₀ + (9(λ₄²+λ₆²))/(4m₄)[C₁(α)-1/(2α-3)] + (3λ₅²)/m₄ + (3C₁(α)λ₁(λ₄+λ₆))/(α m₂) - (3λ₄λ₆)/(2m₄)[C₁(α)-3/(2α-3)] + (λ₂²+λ₃²)/m₂
式中:C₁(α)=α/(2α-3), α=(m₀ m₄)/m₂², m0、m2、m4分别为零阶、二阶、四阶谱距,α(α>1.5)为粗糙表面轮廓的带宽。
当表面上任意一点z(x, y)为最大值点时,则有λ2=λ3=0, λ4<0, λ6<0, λ4λ6-λ52≥0。因此,整个粗糙表面上高度为λ1的微凸体分布概率密度函数为
式中:积分区域v内有λ4<0, λ6<0, λ4λ6-λ52≥0,通过对psum(λ1)在(-∞,∞)上积分便可获得粗糙表面上微凸体的分布密度
微凸体的平均曲率ρ0=sqrt(λ4λ6-λ52),为了简化分析,我们对微凸体的高度和平均曲率进行无量纲处理
式中:λ*和ρ分别为无量纲后的微凸体高度与平均曲率。
p_sum(λ*, ρ) = 1/(4π^(3/2)) √(3α/(2(α-1))) (m₄/m₂) ρ³ * exp[ (3/2)ρ² - (αλ*²)/(2(α-1)) ] * erfc( 3ηρ - (η√α)/(α-1) λ* )
式中:η=√[(α-1)/(4α-6)];误差函数 erfc(x) = (2/√π) ∫_x^∞ exp(-y²) dy
根据Greenwood对Nayak随机过程理论的扩展,得到无量纲后的微凸体高度λ*和平均曲率ρ分布的概率密度函数为
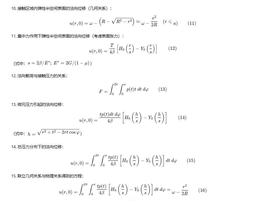
2 单个微凸体的接触模型
在研究表面张力对粗糙表面接触特性的影响之前,需要先求解单个微凸体的计算模型。文献研究表明即使在表面张力存在的情况下,单个弹性球体与一个刚性平面的接触仍可等效为弹性半空间与单个刚性球体的接触。因此,本文可将单个弹性球形微凸体与刚性平面的接触等效为图2所示的接触模型。
图2 刚性球形微凸体与弹性半空间的接触
从图2可知,笛卡尔坐标系(O-xyz)的坐标原点O建立在刚性球形微凸体与弹性半空间最初的接触点处。在法向载荷F的作用下,刚性微凸体与弹性半空间产生接触,并形成了接触半径为a的圆形接触区域,弹性半空间的压入深度为ω。
根据图2的几何关系,可得接触区域内弹性半空间表面的法向位移为
式中:a为真实接触半径;r为接触区域内任意一点到接触中心的垂直距离。
Hajji考虑了表面张力的影响,求解了集中力作用下弹性半空间表面的法向位移为
式中:s=2β/E*; E*=2G/(1-μ); T为集中力;β为表面张力;E*为复合弹性模量;G和μ分别为弹性半空间的剪切模量与泊松比;H0与Y0分别为0阶斯特鲁夫函数和第二类0阶的贝塞尔函数。
针对单个微凸体的接触模型,采用极坐标来表征接触区域内点的坐标(t, φ),t为任意一点到接触中心的距离,φ为该点的极角。若记该点在载荷F作用下的接触压力为p(t),则在整个接触区域内对p(t)进行积分即可获得总的接触压力,且法向载荷F与总的接触压力相等,于是有
将作用在接触区域内某一微元t d t dφ上的压力视为集中力t p(t) d t dφ,则用此集中力代替式(12)中的T,即可获得弹性半空间表面上任意点(r,0)的法向位移
式中:h=sqrt(r2+t2-2rt cosφ),为压力p(t)的作用点到点(r, 0)的距离。
为了获得点(r,0)在总的压力分布下的法向位移,则需要对式(14)在接触区域内进行积分,即有
联立式(11)与式(15)有
由式(16)可知,当r=0时,弹性半空间的压入深度ω可表示为





