合作客户/
拜耳公司 |
同济大学 |
联合大学 |
美国保洁 |
美国强生 |
瑞士罗氏 |
相关新闻Info
-
> 天然和合成宝石的表面张力怎么测
> 3种增效剂对灭草松AS、草铵膦AS、高效氟吡甲禾灵EC增效作用及表面张力影响(二)
> 环保非水基钻井液界面张力、基本性能和抗污染能力——结果与讨论、结论与认识
> Na2CO3溶液与模拟油反应不同时间后产物的界面张力、剪切黏度(一)
> 液态合金表面张力快速检测及相关质量参数实时评价
> 临界表面张力、喷雾距离等对成熟期烟草农药雾滴附着关键指标的影响——结果与讨论、结论
> 3种不同类型喷雾助剂对氟啶虫胺腈药液表面张力及在苹果叶片润湿持留性能测定(三)
> 超低界面张力环保型高温高盐油藏的驱油表面活性剂配方比例及制备(二)
> 超低界面张力复配表面活性剂用于渤海X油田水驱后的“挖潜提采”(一)
> 筛选常用、经济且可抑制低阶煤煤尘的表面活性剂(一)
推荐新闻Info
-
> 界面张力为22mN/m的柴油-水分离滤纸振动特性研究(三)
> 界面张力为22mN/m的柴油-水分离滤纸振动特性研究(二)
> 界面张力为22mN/m的柴油-水分离滤纸振动特性研究(一)
> 超低界面张力环保型高温高盐油藏的驱油表面活性剂配方比例及制备(二)
> 超低界面张力环保型高温高盐油藏的驱油表面活性剂配方比例及制备(一)
> 表面张力和接触角的关系|宝玉石接触角的测量结果和表面张力计算方法(三)
> 表面张力和接触角的关系|宝玉石接触角的测量结果和表面张力计算方法(二)
> 表面张力和接触角的关系|宝玉石接触角的测量结果和表面张力计算方法(一)
> 表面张力仪系统测定:温度范围内甲基九氟丁醚的液相密度与表面张力
> 一套低温、高压悬滴法表面张力实验测量系统实践效果(三)
不同干燥方式对蛋清蛋白功能特性、溶解度、接触角、表面张力的影响(四)
来源:食品工业科技 浏览 135 次 发布时间:2025-10-28
2.8不同干燥方式蛋清蛋白的表面张力分析
表面张力是液体自由表面或两种不相溶液体之间界面上的一种拉力,与蛋白质的乳化性和起泡性息息相关。从图6C可知,在2.0~10.0的pH范围内EWP-P的表面张力均大于EWP-D,这可能是EWP-D较高的溶解度影响了蛋白质在界面的扩散速度所导致。在pH2.0时,EWP-P和EWP-D的表面张力最大,分别为48.36±0.50和48.30±0.26 mN/m。随着pH的增大EWP-P和EWP-D的表面张力均先减小后增大,与溶解度(图6A)的趋势相似,这可能是因为在酸性条件下,卵清蛋白表面的疏水基团会增加,从而降低了蛋白质分子在界面上吸附的动力学障碍,所以EWP-P和EWP-D的表面张力在酸性环境下更大。
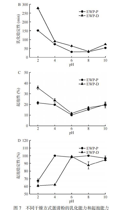
2.9乳化能力和起泡能力分析
蛋白质的溶解度和表面张力等特性在决定其乳化能力等方面起着重要作用。如图7A,EWP-P和EWP-D的乳化性随着pH的增高先减小后增大,与溶解度(图6A)和表面张力(图6C)的趋势一样。pH为2.0时,两者的乳化能力最好,其乳化性分别为5.98±0.04和6.25±0.02 m2/g,乳化稳定性分别为151.48和277.85 min。酸性环境下卵清蛋白表面暴露了更多的疏水氨基酸和带电基团,可以有效地帮助乳状液体系的形成和物理稳定,因此在酸性环境下EWP-P和EWP-D的乳化性和乳化稳定性均更高。EWP-D的乳化性优于EWP-P,这是因为蛋白质的乳化性与其溶解度密切相关,溶解度较大,乳化性也相对较高。此外,卵清蛋白是一种典型的含糖链的球蛋白,其糖链具有较强的界面吸附作用,有利于油水界面的乳化。EWP-P在喷雾干燥时的美拉德反应消耗了蛋清蛋白中的糖,故其乳化性较小。
图7不同干燥方式蛋清粉的乳化能力和起泡能力
泡沫的形成依赖于由蛋白质形成的界面膜及其在悬浮液中保持气泡和减缓聚结速率的能力,其中蛋白质的发泡能力和稳定性与蛋白与水相在界面上的相互作用有关,受蛋白分子柔性、净电荷、构象和疏水性的影响。蛋清蛋白在pH2.0~10.0条件下的起泡性如图7C所示,EWP-D的起泡性优于EWP-P,这可能是由于EWP-D的溶解度较高,在起泡过程中蛋白能迅速展开,形成能同时连接水相溶剂与空气界面的两性介质,而自身的带电性又可产生一定的静电排斥,使蛋白分子在空气-水界面上呈现规律性排列,而不会发生聚集。相比之下,EWP-P在高温发生的美拉德反应会使蛋白形成更大的空间位阻,进而延缓了蛋白质在空气/液体界面的吸附。pH为6.0时,EWP-P和EWP-D的起泡性较低,分别是10.19%±1.01%和11.7%±0.66%,这是由于该pH下蛋白的溶解度和表面张力较低,蛋白易发生聚集,故不易形成泡沫。
Dabbour等研究向日葵蛋白时也发现所有的蛋白样品在pH6.0时的起泡性最低,且冷冻干燥样品的起泡性优于对流烘箱干燥样品。另一方面,泡沫稳定性与蛋白膜的强度有关,蛋白质在搅打时,蛋白质分子被吸附在空气-水界面,蛋白质分子重新排列,使其疏水部分朝向气相方向,这种变化容易引起巯基的氧化,在空气-水界面与相邻的蛋白质分子中的巯基形成二硫键,从而增强界面膜的强度,有利于泡沫稳定性。EWP-P的泡沫稳定性大于EWP-D,可能是因为喷雾干燥可能导致更多的蛋白质展开,表面游离巯基含量较多。另一方面可能是因为EWP-P发生了美拉德反应,在空气-水界面上可以形成的厚的粘弹性美拉德产物层,有利于泡沫稳定性的增加。Zeng等研究不同干燥方式对鸡皮胶原蛋白多肽时也发现喷雾干燥使其蛋白样品的泡沫稳定性优于冷冻干燥样品。
2.10不同干燥方式蛋清蛋白的乳液微观结构分析
EWP-P和EWP-D经高压均质机均质0、1、2次后所得乳液的微观结构如图8所示。未高压均质的蛋清蛋白乳液油滴大,且不均一,蛋白质容易从油水界面解离出来,使小油滴聚集形成大油滴。均质1次后蛋清蛋白乳液的油滴尺寸减小,分散性提高,且未发生团聚现象,其原因可能是高压均质后,蛋清蛋白乳液被高压剪切力切割形成小分子,使蛋清蛋白粒径减小,更多的蛋白质吸附至油-水界面,为液滴间提供足够的排斥力,从而阻止乳析的发生,使蛋清蛋白乳液的稳定性增强。均质2次后,两者均出现了小程度的团聚现象,形成了较大的油滴,这可能是因为均质次数增多,体系出现了“过处理”效应,高压使蛋清蛋白乳液的油滴变小,油滴之间的运动速率加快,增加了相互碰撞的次数,从而破坏界面膜,导致油滴聚集。刘竞男等研究高压对大豆分离蛋白的影响时也发现随着均质次数的增多,大豆分离蛋白的乳液体系出现了“过处理”效应,这被归因为部分解离的大豆蛋白分子重新通过新的二硫键形成了聚集体。EWP-P的团聚现象比EWP-D的更明显,可能是因为EWP-P的溶解度较低且表面巯基含量较高,故更易于聚集。以上结果表明,EWP-D乳液的稳定性高于EWP-P,说明真空冷冻干燥更有利于蛋清蛋白的乳液稳定。
图8不同干燥方式蛋清粉乳液的微观结构(400×)
注:A.荧光倒置显微镜;B.激光扫描共聚焦显微镜,B图中EWP标记为绿色,油相标记为红色。
3.结论
蛋清蛋白经过不同干燥方式干燥后,其结构会发生变化,从而导致理化和功能特性不同。喷雾干燥会使蛋清蛋白内部疏水基团和巯基暴露,同时还会与蛋清中的糖发生美拉德反应,最终使蛋白的溶解度、乳化性以及起泡能力下降,但其较高的表面疏水性有利于维持泡沫的稳定。冷冻干燥蛋清蛋白干燥前后的结构变化较小,蛋白基本保持原有的空间构象。相较于喷雾干燥蛋清蛋白,冷冻干燥蛋清蛋白具有较大的比表面积与溶解度,表面张力更小,因此蛋白的乳化能力和起泡性更优。随着冷冻干燥技术与装备的日益成熟,本研究的结果可为冷冻干燥蛋清蛋白在新食品开发与加工中的应用提供理论参考。





