合作客户/
拜耳公司 |
同济大学 |
联合大学 |
美国保洁 |
美国强生 |
瑞士罗氏 |
相关新闻Info
-
> 氧化石墨烯基复合膜材料的制备方法、应用开发及前景
> 高速运动的微小水滴撞击深水液池产生的空腔运动及形成机理(二)
> 新型悬滴实验系统的研制与二甲基亚砜/甲醇混合物表面张力测量(二)
> 高性能氟碳防水锁剂(FS-1)对盐水溶液表面张力的影响
> 基于表面光散射法的棕榈酸甲酯/乙酯高温表面张力与黏度测量(二)
> 新制备的抗溶胀表层复合水凝胶可减少由溶胀引起的界面张力
> 交替型LB膜分析仪工作原理
> 不同水淹程度的油藏环境下微生物提高采收率、采出液的表面张力与界面张力的变化(一)
> Marangoni效应:智能液体会走迷宫
> 印刷掉墨现象:真空喷铝转移纸储存时间与涂层表面张力、结合牢度关联性研究(一)
推荐新闻Info
-
> 表面张力对机械结合面接触载荷、真实接触面积以及接触刚度的影响规律(三)
> 表面张力对机械结合面接触载荷、真实接触面积以及接触刚度的影响规律(二)
> 表面张力对机械结合面接触载荷、真实接触面积以及接触刚度的影响规律(一)
> 一种改进的CSF模型:用于SPH流体仿真的光滑表面张力模拟(二)
> 一种改进的CSF模型:用于SPH流体仿真的光滑表面张力模拟(一)
> 减弱贾敏效应的方法|表面活性剂改善贾敏效应实验
> 贾敏效应实验方法与步骤、结果
> 贾敏效应机理、影响因素及其在低渗透油藏开发中的危害(一)
> 面向高效环保灭火剂的界面张力最小化:短链氟碳复配体系的设计与解析(四)
> 面向高效环保灭火剂的界面张力最小化:短链氟碳复配体系的设计与解析(三)
表面张力对机械结合面接触载荷、真实接触面积以及接触刚度的影响规律(三)
来源: 《振动与冲击》 浏览 7 次 发布时间:2026-03-09
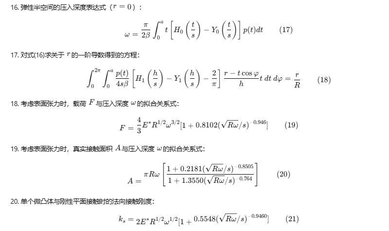
通过对式(16)求关于r的一阶导数,有
式中:H1与Y1分别为1阶斯特鲁夫函数与第二类1阶的贝塞尔函数。
由于式(18)为奇异积分,难以获得它的解析解,故本文采用高斯-切比雪夫求积公式对单个微凸体模型进行数值求解,详细的求解步骤如下,图3给出了数值求解流程步骤为:
步骤1:先给定一个法向载荷F的大小。
步骤2:合理假设载荷F作用下接触半径a的最大取值amax与最小值amin,并采用二分法取其初始值a0=(amax+amin)/2。
步骤3:使用高斯-切比雪夫求积公式将式(18)及其约束方程式(13)化简成积分区间为[-1,1]的高斯切比雪夫型求积方程,然后将a0代入方程中,并使用MATLAB进行数值迭代求解。
步骤4:通过“步骤3”的求解即可获得接触区域的压力分布p(t),并判断接触边缘处的压力是否为有限的正值,同时需要保证接触区域内的压力p(t)是光滑连续变化的,否则继续执行“步骤2”与“步骤3”,直至获得合理的压力分布为止。
步骤5:类似地,采用高斯-切比雪夫求积公式对式(17)进行化简,然后将上述获得的真实接触半径a以及压力分布p(t)代入方程,即可求解出弹性半空间的压入深度ω。
实际工程中不同粗糙表面对应的微凸体曲率半径各不相同,在上述的数值求解过程中,以微凸体曲率半径R=10 mm为例来研究表面张力对接触特性的影响,其他参数G=1 MPa, μ=0.4, β=0.1 J/m2。获得了无量纲接触载荷F/(4/3 E* R1/2 ω3/2)和无量纲接触面积A/πRω与无量纲参数(Rω)1/2/s的数值关系,通过对数值解的拟合,得到了考虑表面张力时载荷F和真实接触面积A与压入深度ω的关系式分别如式(19)和式(20)所示,且不同的R值只会影响式(19)和式(20)中的拟合系数。
图4为无量纲接触载荷F/(4/3 E* R1/2 ω3/2)与无量纲参数(Rω)1/2/s的关系。由图4可知,式(19)与数值结果吻合,说明了考虑表面张力时的接触载荷与压入深度关系模型的正确性。同时发现,随着(Rω)1/2/s的减小,F/(4/3 E* R1/2 ω3/2)逐渐增大。
图5为无量纲真实接触面积A/πRω与无量纲参数(Rω)1/2/s的关系。类似地,数值结果与式(20)吻合,说明了考虑表面张力时的真实接触面积与压入深度关系模型的正确性。此外,随着(Rω)1/2/s的减小,A/πRω也逐渐减小。
同时,从图4和图5可知,当不计表面张力的影响时,即s趋于无穷小,参数(Rω)1/2/s趋于无穷大时,本模型逐渐趋近于赫兹接触模型;相反,当考虑表面张力的影响时,接触载荷与真实接触面积明显不同于赫兹接触模型的分析结果;当压入深度相同时,与赫兹求解接触模型的分析结果相比,由于表面张力的存在,接触载荷较大,真实接触面积较小。
根据刚度的定义,可得单个微凸体与刚性平面接触时的法向接触刚度为
图6显示了无量纲接触刚度与无量纲参数(Rω)1/2/s的关系曲线。由图6可知,数值结果与式(21)吻合。当忽略表面张力的影响时,即参数(Rω)1/2/s趋于无穷大,接触刚度逐渐接近于赫兹接触分析结果;相反,当表面张力的影响不可忽略时,此时接触刚度明显偏离于赫兹结果。
3 结合面新模型
受外界载荷作用,微凸体与刚性平面产生接触,单个微凸体的变形量ω=z-d。采用统计学方法并结合微凸体高度与曲率分布的概率密度函数式(10),将单个微凸体的计算模型扩展到整个结合面上,获得了结合面的接触载荷Ft、真实接触面积At、接触刚度Kt分别为
将式(19)、式(20)和式(21)分别代入式(22)、式(23)和式(24),并进行无量纲处理有
F_t* = (√m₂)/(π^(3/2)) √(α^(5/2)/(6(α-1))) ∫∫ (λ*-u)^(3/2) ρ^(5/2) [1+0.8102(√((λ*-u)/ρ)/s*)^(-0.946)] * exp[ (3/2)ρ² - (αλ*²)/(2(α-1)) ] * erfc( 3ηρ - (η√α)/(α-1) λ* ) dλ* dρ
(26) 无量纲化后的总真实接触面积表达式:
A_t* = √(3α²/(32π(α-1))) ∫∫ (λ*-u) ρ² [ (1+0.2181(√((λ*-u)/ρ)/s*)^(-0.8505)) / (1+1.355(√((λ*-u)/ρ)/s*)^(-0.7641)) ] * exp[ (3/2)ρ² - (αλ*²)/(2(α-1)) ] * erfc( 3ηρ - (η√α)/(α-1) λ* ) dλ* dρ
(27) 无量纲化后的总接触刚度表达式:
K_t* = 1/(√m₂ π^(3/2)) √(3α^(3/2)/(8(α-1))) ∫∫ (λ*-u)^(1/2) ρ^(5/2) [1+0.5548(√((λ*-u)/ρ)/s*)^(-0.946)] * exp[ (3/2)ρ² - (αλ*²)/(2(α-1)) ] * erfc( 3ηρ - (η√α)/(α-1) λ* ) dλ* dρ
(式中:s* = s/α^(1/4) * √(m₄/m₂) 为无量纲的表面张力参数;u = d/√m₀ 为无量纲的两表面间平均距离。)





